整流与滤波第二节——全波整流,平均值、有效值及电路设计注意事项
全波整流电路,可以看作是由两个半波整流电路组合成的。变压器次级线圈中间需要引出一个抽头把次组线圈分成两个对称的绕组,从而引出大小相等但极性相反的两个电压U2a、U2b,构成U2a、D1.R0与U2b、D2、R0,在设计全波整流电流时要注间:两个通电回路.在应用全波整流器时其电源变压器必须有中心抽头。无论正半周或负半周,通过负载电阻R的电流方向总是相同的。全波整流电路输出正极性还是负极性单向脉动直流电压,主要取决于整流二极管的连接方式,其判断方法是这样:整流二极管正极接电源变压器次级线圈时,输出正极性的单向脉动直流电压;整流二极管负极接电源变压器次级线圈时,输出负极性的单向脉动直流电压。更多的知识尽在小北设计。
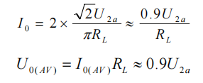
其电路图及波形见下图所示:电流电流:平均值,它们的有效值的求法。PCB画板设计—小北设计。专业,专注。

整流电路的作用是将交流降压电路输出的电压较低的交流电转换成单向脉动性直流电,这就是交流电的整流过程,整流电路主要由整流二极管组成。经过整流电路之后的电压已经不是交流电压,而是一种含有直流电压和交流电压的混合电压,习惯上称单向脉动性直流电压。
关于负极性全波整流电路的故障分析与正极性全波整流电路一样,只是注意检修故障时所测量整流电路输出端的电压为负值,注意万用表直流电压挡的红、黑表棒。








最新发布